公司2017-2018学年
第一学期
勤学奖学金推荐名单公示
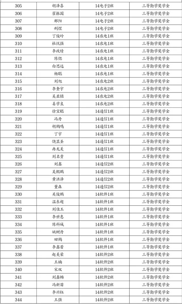
依据《u8国际网站员工管理规定》《u8国际网站奖助学金评选及管理办法》相关规定,经员工本人申请、班级评选、公司审核,现将公司获得2017-2018学年第一学期勤学奖学金员工名单公示:














公示时间为2018年4月13日至2018年4月15日, 公示3天。如对评定情况有不同意见者,请向公司反映,联系电话:6819314,电子信箱:byndsqp@126.com。
校国家奖助学金评选工作监督电话:6819100。
电子邮箱:byndzxb@126.com。
(编辑/王凯 责编/侯宇航)